光氯化(Photochlorination)
2024-07-09 13:33:11
光氯化/Photochlorination

什么是光氯化?
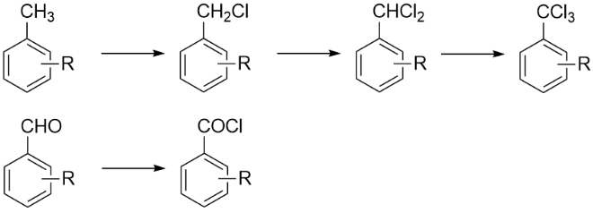
氯分子 (Cl-Cl) 由兩個鍵合在一起的氯原子 (Cl) 組成。當氯暴露在光線下時,氯分子被裂解形成高活性氯自由基(Cl?)。當這種氯自由基(Cl-)與其他碳氫化合物反應時進行的氯化稱為“光氯化”。
邁庫弗洛提供光氯化反應設施,通過LED光源進行氯化,如進行甲苯/二甲苯的甲基氯化和醛的酸氯化。
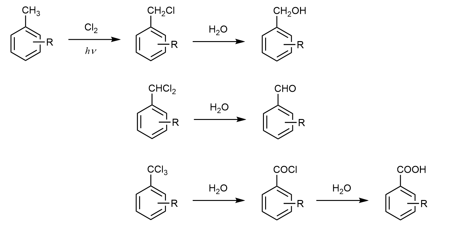
氯化產品都可以在蒸餾設備中分離,并通過水解將產品衍生為醛、羧酸氯化物等。

除了甲苯和二甲苯等甲基氯化反應外,光氯化還可用于雙鍵化合物的氯化。

連續流微通道光氯化的優勢
由于沒有添加自由基引發劑,因此具有以下優點:
1、可提高反應效率并節省作業工序的人力
與使用自由基引發劑的反應相比,自由基生成率或半衰期不會因溫度而發生變化,因此反應可高效進行。此外,在量產設備中,控制室中只需點亮光源,無需添加自由基引發劑,從而節省了作業工序的人力。
2、無需擔心自由基引發劑殘留物的去除
使用自由基引發劑時,反應后需要去除殘留物。另一方面,光氯化本身不需要去除過程,這有利于新光氯化項目的早期商業化。
3、不使用有爆炸危險的偶氮化合物
一般使用偶氮化合物作為自由基引發劑,但偶氮化合物有爆炸危險。伊原日經不使用光照射技術添加自由基引發劑。因此,不存在偶氮化合物引起的爆炸危險,可以更安全地進行生產。